Eleições 2024:saiba quanto cada partido vai receber do total do Fundo Especial de Campanha
- Aldemar Almeida

- 18 de jun. de 2024
- 1 min de leitura
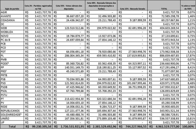
O Tribunal Superior Eleitoral (TSE) divulgou os valores que cada partido vai receber do Fundo Especial de Financiamento de Campanha (FEFC), seguindo o prazo fixado pelo calendário eleitoral. Ao todo, 29 partidos receberão R$ 4.961.519.777,00, valor estabelecido pelo Congresso Nacional para gastos com a corrida eleitoral deste ano. Os critérios da divisão também foram fixados em lei pelo parlamento (Lei nº 9.504/1997, artigo 16-D).
Para receber os recursos, cada partido precisa definir critérios de distribuição às candidatas e aos candidatos, de acordo com a lei, respeitando, por exemplo, a cota por gênero e raça. O plano deve ser homologado pelo TSE.
O papel do TSE é dar racionalidade e transparência aos critérios de distribuição (Lei nº 9.504/1997, artigo 16-C) definidos pelos congressistas. Ao final do pleito, os partidos deverão apresentar a prestação de contas detalhada, que será examinada e votada pelo plenário do Tribunal.
Veja a tabela de distribuição:
¹ Fusão do Partido Trabalhista Brasileiro (PTB) e Patriota (Patriota) criando o Partido Renovação Democrática (PRD)² Incorporação do Partido Republicano da Ordem Social (Pros) pelo Solidariedade³ Incorporação do Partido Social Cristão (PSC) pelo Podemos (Pode)
¹







Comentários